Diagramas de Actividades / Activity Diagrams

Recursos

Descargar DOCx Hora 11


Descargar PPTx Hora 11


Un diagrama de Actividad demuestra la serie de actividades que deben ser realizadas en un uso-caso, así como las distintas rutas que pueden irse desencadenando en el uso-caso.




Es importante recalcar que aunque un diagrama de actividad es muy similar en definición a un diagrama de flujo (típicamente asociado en el diseño de Software), estos no son lo mismo. Un diagrama de actividad es utilizado en conjunción de un diagrama uso-caso para auxiliar a los miembros del equipo de desarrollo a entender como es utilizado el sistema y como reacciona en determinados eventos.Lo anterior, en contraste con un diagrama de flujo que ayuda a un programador a desarrollar código a través de una descripción lógica de un proceso. Se pudiera considerar que un diagrama de actividad describe el problema, mientras un diagrama de flujo describe la solución.


Composición

            
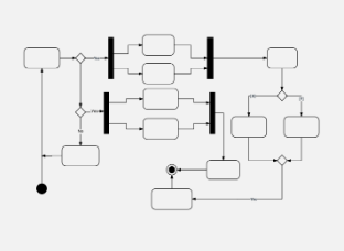
  • Inicio: El inicio de un diagrama de actividad es representado por un círculo de color negro sólido.
  • Actividad : Una actividad representa la acción que será realizada por el sistema la cual es representada dentro de un ovalo.
  • Transición: Una transición ocurre cuando se lleva acabo el cambio de una actividad a otra, la transición es representada simplemente por una linea con una flecha en su terminación para indicar dirección.


  • Ramificación  / Decisión (Branch) : Una ramificación ocurre cuando existe la posiblidad que ocurra más de una transición (resultado) al terminar determinada actividad.Este elemento es representado a través de un rombo.
  • Unión (Merge) : Una unión ocurre al fusionar dos o más transiciones en una sola transición o actividad.Este elemento también es representado a través de un rombo.
  • Expresiones Resguardadas (Guard Expressions) : Una expresió resguardada es utilizada para indicar una descripción explicita acerca de una transición. Este tipo de expresión es representada mediante corchetes ([...] y es colocada sobre la linea de transición.
       
  •  Fork : Un fork representa una necesidad de ramificar una transición en más de una posibilidad. Aunque similar a una ramificación (Branch) la diferencia radica en que un fork representa más de una ramificación obligada, esto es, la actividad debe proceder por ambos o más caminos, mientras que una ramificación (Branch) representa una transición u otra para la actividad (como una condicional). Un fork es representado por una linea negra solida, perpendicular a las lineas de transición .


  • Join : Una join ocurre al fusionar dos o más transiciones provenientes de un fork, y es empleado para dichas transiciones en una sola,tal y como ocurria antes de un fork .Un fork es representado por una linea negra solida, perpendicular a las lineas de transición .
  • Fin : El fin de un diagrama de actividad es representado por un círculo, con otro circulo concentrico de color negro sólido.
  • Canales (Swimlanes) : En determinadas ocasiones ocurre que un diagrama de actividad se expanda a lo largo de más de un entidad o actor, cuando esto ocurre el diagrama de actividad es particionada en canales (swimlines), donde cada canal representa la entidad o actor que esta llevando acabo la actividad.
Es decir, en UML un diagrama de actividades se usa para graficar una  secuencia de actividades. Muestran el flujo de trabajo desde el punto de inicio hasta el punto final detallando muchas de las rutas de decisiones que existen en el progreso de eventos contenidos en la actividad. 

Estos también pueden usarse para detallar situaciones donde el proceso paralelo puede ocurrir en la ejecución de algunas actividades. Son útiles para el Modelado de Negocios donde se usan para detallar el proceso involucrado en las actividades de negocio.





 
|